Hvad er plot() i R?
plot() i R er en alsidig funktion, der understøtter forskellige typer diagrammer, herunder spredningsdiagrammer, linje- og søjlediagrammer, histogrammer, boksdiagrammer og meget mere.
Hvordan fungerer plot() i R?
Funktionen plot() i R bruges til at lave diagrammer. Den placerer datapunkter på et koordinatsystem og forbinder dem med hinanden eller markerer dem på forskellige måder. Det giver dig mulighed for at illustrere mønstre og sammenhænge i data og bedre identificere tendenser eller afvigelser.
plot() kan lave spredningsdiagrammer, linje- og søjlediagrammer, histogrammer og mange andre typer diagrammer. Takket være sin alsidighed bruges det til datavisualisering i en række forskellige sammenhænge, lige fra dataanalyse til præsentation af resultater. Det er brugervenligt og fleksibelt, hvilket gør det til et vigtigt værktøj for alle, der analyserer data, arbejder med statistik eller ønsker at illustrere komplekse datasæt.
Hvad er syntaksen for plot() i R?
Strukturen i funktionen plot() i R indeholder argumenter for x- og y-aksedata og valgfri argumenter til tilpasning af grafikens udseende, herunder farver, akseetiketter og diagramtyper.
Den grundlæggende syntaks ser således ud:
plot(x, y, ...)RI det følgende eksempel plotter vi værdierne fra vektorerne x og y på et spredningsdiagram. Funktionen plot() bruger standardværdier for grafetype, farver og akseetiketter, da disse argumenter ikke er udfyldt.
x <- c(1, 2, 3, 4, 5)
y <- c(2, 4, 1, 7, 3)
plot(x, y)RDen resulterende graf ser således ud:

Sådan tilpasses grafer med R plot()
Du kan tilpasse graftypen og dens udseende med yderligere argumenter i funktionen plot() i R.
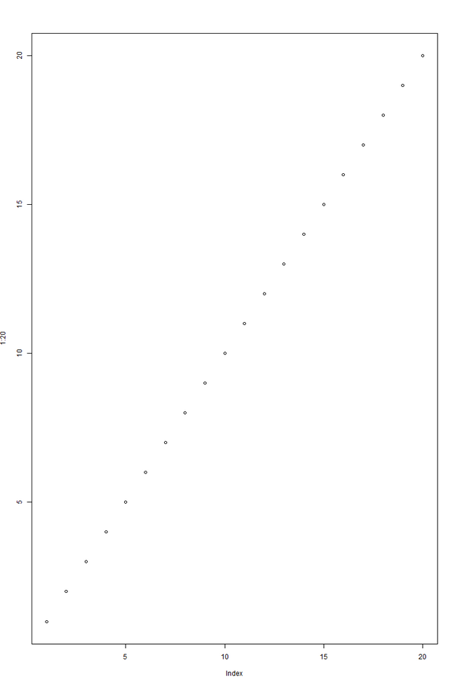
Sådan oprettes en række punkter
Du kan nemt oprette en række punkter langs x- og y-aksen ved hjælp af operatoren :.
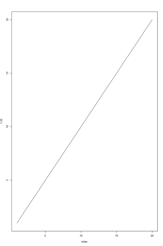
plot(1:20)RGrafen vil se således ud:

Som vi kan se, opretter plot(1:20) et simpelt spredningsdiagram, hvor både x-aksen og y-aksen automatisk udfyldes med værdierne 1 til 20.
Hvordan man tegner en linje
Hvis du hellere vil have en linjegraf end et spredningsdiagram, skal du blot indtaste type=l som argument. Dette definerer grafetypen som**‘Linje**’.
plot(1:20, type="l")RDer vil derefter blive trukket en linje mellem punkterne.

Sådan angives etiketter
Du kan tilføje etiketter til diagrammet med parametrene main, xlab og ylab.
plot(1:20, type="l", main="Line Chart", xlab="The x-axis", ylab="The y axis")RResultatet ser således ud:

Sådan ændrer du grafens udseende
Lad os nu se på et mere komplekst eksempel, hvor vi ændrer farven, størrelsen og formen på punkterne på grafen.
plot(1:20, type = "p", col = "green", pch = 8, cex = 1.5, main = "Scatterplot", xlab = "The x-axis", ylab = "The y-axis")RDen resulterende graf ser således ud:

type = "p": Indstiller plottypen til ‘punkter’col = "green": Indstiller farven til grønpch = 8: Indstiller symbolet for punkternecex = 1.5: Indstiller størrelsen på punkterne til 1,5 gange større end standard- `main = “Scatterplot”: Indstiller ‘Scatterplot’ som titel på grafen
xlab = "The x-axis"ogylab = "The y-axis": Tilføjer etiketter til x- og y-aksen
Du kan ændre disse parametre så meget, du vil, for at få et grafisk udtryk, der passer til dine behov.