Hva er plot() i R?
plot() i R er en allsidig funksjon som støtter ulike typer diagrammer, inkludert spredningsdiagrammer, linje- og stolpediagrammer, histogrammer, boksdiagrammer og mer.
Hvordan fungerer plot() i R?
Funksjonen plot() i R brukes til å lage diagrammer. Den plasserer datapunkter på et koordinatplan og kobler dem sammen eller markerer dem på forskjellige måter. Dette gjør det mulig å illustrere mønstre og sammenhenger i dataene og bedre identifisere trender eller avvik.
plot() kan lage spredningsdiagrammer, linje- og stolpediagrammer, histogrammer og mange andre typer diagrammer. Takket være sin allsidighet brukes det til datavisualisering i en rekke sammenhenger, alt fra dataanalyse til presentasjon av resultater. Brukervennligheten og fleksibiliteten gjør det til et viktig verktøy for alle som analyserer data, arbeider med statistikk eller ønsker å illustrere komplekse datasett.
Hva er syntaksen til plot() i R?
Strukturen til funksjonen plot() i R inneholder argumenter for data på x- og y-aksen og valgfrie argumenter for å tilpasse utseendet på grafen, inkludert farger, akseetiketter og diagramtyper.
Den grunnleggende syntaksen ser slik ut:
plot(x, y, ...)RI det følgende eksemplet plotter vi verdiene fra vektorene x og y på et spredningsdiagram. Funksjonen plot() bruker standardverdier for grafetype, farger og akseetiketter, siden disse argumentene ikke er fylt ut.
x <- c(1, 2, 3, 4, 5)
y <- c(2, 4, 1, 7, 3)
plot(x, y)RDen resulterende grafen ser slik ut:

Hvordan tilpasse grafer med R plot()
Du kan tilpasse graftypen og utseendet med flere argumenter i funksjonen plot() i R.
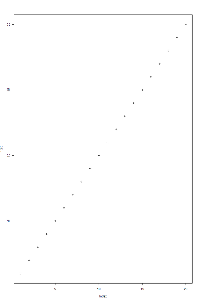
Hvordan lage en sekvens av punkter
Du kan enkelt lage en sekvens av punkter langs x- og y-aksen ved hjelp av operatøren :.
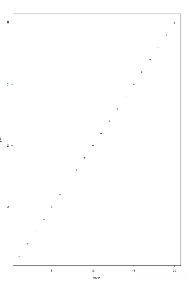
plot(1:20)RGrafen vil se slik ut:

Som vi kan se, oppretter plot(1:20) et enkelt spredningsdiagram hvor både x-aksen og y-aksen automatisk fylles med verdiene 1 til 20.
Hvordan tegne en linje
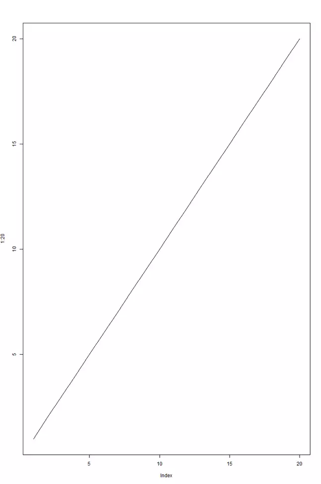
Hvis du ønsker å ha et linjediagram i stedet for et punktdiagram, skriver du bare inn type=l som argument. Dette definerer diagramtypen som**«Linje**».
plot(1:20, type="l")RDeretter tegnes det en linje mellom punktene.

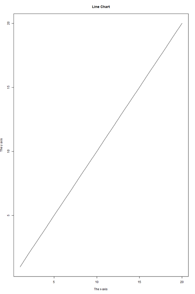
Hvordan spesifisere etiketter
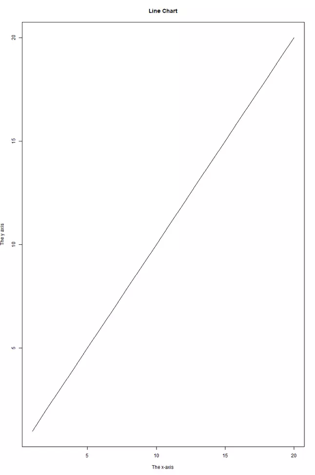
Du kan legge til etiketter i diagrammet med parametrene main, xlab og ylab.
plot(1:20, type="l", main="Line Chart", xlab="The x-axis", ylab="The y axis")RResultatet ser slik ut:

Hvordan endre grafens utseende
La oss nå se på et mer komplekst eksempel, hvor vi endrer fargen, størrelsen og formen på punktene i grafen.
plot(1:20, type = "p", col = "green", pch = 8, cex = 1.5, main = "Scatterplot", xlab = "The x-axis", ylab = "The y-axis")RDen resulterende grafen ser slik ut:

type = "p": Angir plottetypen som «punkter»col = "green": Angir fargen som grønnpch = 8: Angir symbolet for punktenecex = 1.5: Angir størrelsen på punktene til 1,5 ganger større enn standard- `main = “Scatterplot”: Setter «Scatterplot» som tittel på grafen
xlab = "The x-axis"ogylab = "The y-axis": Legger til etiketter til x- og y-aksen
Du kan endre disse parametrene så mye du vil for å få en grafikk som passer dine behov.