Τι είναι η συνάρτηση plot() στην R;
plot() στο R είναι μια ευέλικτη συνάρτηση που υποστηρίζει διάφορα είδη γραφημάτων, όπως διαγράμματα διασποράς, γραφήματα γραμμών και ράβδων, ιστογράμματα, διαγράμματα κουτιών και άλλα.
Πώς λειτουργεί η συνάρτηση plot() στην R;
Η συνάρτηση plot() στη γλώσσα R χρησιμοποιείται για τη δημιουργία γραφημάτων. Τοποθετεί τα σημεία δεδομένων σε ένα επίπεδο συντεταγμένων και τα συνδέει μεταξύ τους ή τα επισημαίνει με διαφορετικούς τρόπους. Αυτό σας επιτρέπει να απεικονίσετε μοτίβα και σχέσεις στα δεδομένα και να προσδιορίσετε καλύτερα τις τάσεις ή τις αποκλίσεις.
plot() μπορεί να δημιουργήσει διαγράμματα διασποράς, γραφήματα γραμμών και ράβδων, ιστογράμματα και πολλούς άλλους τύπους γραφημάτων. Χάρη στην ευελιξία του, χρησιμοποιείται για την οπτικοποίηση δεδομένων σε διάφορα πλαίσια, από την ανάλυση δεδομένων έως την παρουσίαση αποτελεσμάτων. Η ευχρηστία και η ευελιξία του το καθιστούν ένα σημαντικό εργαλείο για όσους αναλύουν δεδομένα, εργάζονται με στατιστικά στοιχεία ή επιθυμούν να απεικονίσουν σύνθετα σύνολα δεδομένων.
Ποια είναι η σύνταξη της συνάρτησης plot() στην R;
Η δομή της συνάρτησης plot() στο R περιέχει ορίσματα για τα δεδομένα των αξόνων x και y και προαιρετικά ορίσματα για την προσαρμογή της εμφάνισης του γραφήματος, συμπεριλαμβανομένων των χρωμάτων, των ετικετών των αξόνων και των τύπων γραφημάτων.
Η βασική σύνταξη έχει την ακόλουθη μορφή:
plot(x, y, ...)RΣτο παρακάτω παράδειγμα, απεικονίζουμε τις τιμές από τους διανύσματα x και y σε ένα διάγραμμα διασποράς. Η συνάρτηση plot() χρησιμοποιεί τις προεπιλεγμένες τιμές για τον τύπο γραφήματος, τα χρώματα και τις ετικέτες των αξόνων, καθώς αυτά τα ορίσματα έχουν αφεθεί κενά.
x <- c(1, 2, 3, 4, 5)
y <- c(2, 4, 1, 7, 3)
plot(x, y)RΤο προκύπτον γράφημα έχει την εξής μορφή:

Πώς να προσαρμόσετε γραφήματα με την εντολή plot() της R
Μπορείτε να προσαρμόσετε τον τύπο του γραφήματος και την εμφάνισή του με περαιτέρω επιχειρήματα στη συνάρτηση plot() στο R.
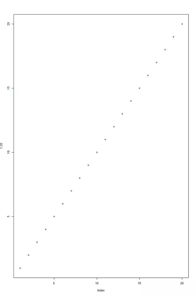
Πώς να δημιουργήσετε μια ακολουθία σημείων
Μπορείτε εύκολα να δημιουργήσετε μια ακολουθία σημείων κατά μήκος των αξόνων x και y χρησιμοποιώντας τον τελεστή :.
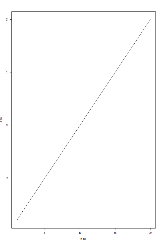
plot(1:20)RΤο γράφημα θα έχει την ακόλουθη μορφή:

Όπως μπορούμε να δούμε, plot(1:20) δημιουργεί ένα απλό διάγραμμα διασποράς όπου τόσο ο άξονας x όσο και ο άξονας y συμπληρώνονται αυτόματα με τις τιμές 1 έως 20.
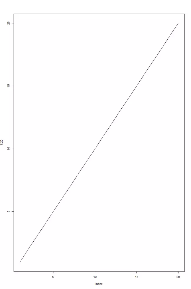
Πώς να σχεδιάσετε μια γραμμή
Αν θέλετε να έχετε ένα γραμμικό γράφημα αντί για ένα διάγραμμα διασποράς, απλά εισάγετε type=l ως όρισμα. Αυτό ορίζει τον τύπο του γραφήματος ως**«Γραμμή**».
plot(1:20, type="l")RΣτη συνέχεια, θα σχεδιαστεί μια γραμμή μεταξύ των σημείων.

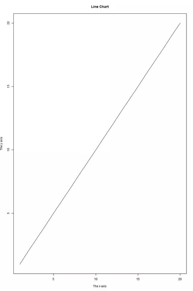
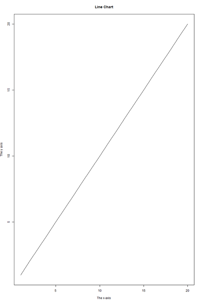
Πώς να καθορίσετε ετικέτες
Μπορείτε να προσθέσετε ετικέτες στο γράφημα με τις παραμέτρους main, xlab και ylab.
plot(1:20, type="l", main="Line Chart", xlab="The x-axis", ylab="The y axis")RΤο αποτέλεσμα έχει ως εξής:

Πώς να αλλάξετε την εμφάνιση του γραφήματος
Ας δούμε τώρα ένα πιο σύνθετο παράδειγμα, όπου αλλάζουμε το χρώμα, το μέγεθος και το σχήμα των σημείων στο γράφημα.
plot(1:20, type = "p", col = "green", pch = 8, cex = 1.5, main = "Scatterplot", xlab = "The x-axis", ylab = "The y-axis")RΤο προκύπτον γράφημα έχει την ακόλουθη μορφή:

type = "p": Ορίζει τον τύπο γραφικής παράστασης ως «σημεία»col = "green": Ορίζει το χρώμα ως πράσινοpch = 8: Ορίζει το σύμβολο για τα σημείαcex = 1.5: Ορίζει το μέγεθος των σημείων ως 1,5 φορές μεγαλύτερο από το πρότυπο- `main = “Scatterplot”: Ορίζει το «Scatterplot» ως τίτλο του γραφήματος
xlab = "The x-axis"καιylab = "The y-axis": Προσθέτει ετικέτες στους άξονες x και y
Μπορείτε να τροποποιήσετε αυτές τις παραμέτρους όσο θέλετε για να αποκτήσετε ένα γραφικό που ταιριάζει στις ανάγκες σας.