Mis on plot() R-is?
plot() in R on mitmekülgne funktsioon, mis toetab erinevaid graafikuid, sealhulgas hajusdiagramme, joon- ja tulpdiagramme, histogramme, kastdiagramme ja muud.
Kuidas töötab plot() R-is?
R-keeles kasutatakse funktsiooni plot() graafikute koostamiseks. See paigutab andmepunktid koordinaatteljele ja ühendab need omavahel või märgib need erineval viisil. See võimaldab illustreerida andmete mustreid ja seoseid ning paremini tuvastada suundumusi või kõrvalekaldeid.
plot() võimaldab luua hajusdiagramme, joon- ja tulpdiagramme, histogramme ja paljusid muid graafikuid. Tänu oma mitmekülgsusele kasutatakse seda andmete visualiseerimiseks mitmesugustes kontekstides, alates andmete analüüsist kuni tulemuste esitamiseni. Selle kasutajasõbralikkus ja paindlikkus teevad sellest olulise tööriista kõigile, kes analüüsivad andmeid, töötavad statistika valdkonnas või soovivad illustreerida keerukaid andmekogumeid.
Mis on plot() süntaks R-is?
R-keeles funktsiooni plot() struktuur sisaldab argumente x- ja y-telje andmete jaoks ning valikulisi argumente graafiku välimuse kohandamiseks, sealhulgas värvid, telje sildid ja diagrammitüübid.
Põhiline süntaks on järgmine:
plot(x, y, ...)RJärgmises näites joonistame vektorite x ja y väärtused hajusdiagrammile. Funktsioon plot() kasutab graafiku tüübi, värvide ja telgede siltide jaoks vaikimisi väärtusi, kuna need argumendid on jäetud täitmata.
x <- c(1, 2, 3, 4, 5)
y <- c(2, 4, 1, 7, 3)
plot(x, y)RSaadud graafik näeb välja järgmine:

Kuidas kohandada graafikuid R plot() abil
Saate graafiku tüüpi ja välimust kohandada R-keeles funktsiooni plot() abil täiendavate argumentidega.
Kuidas luua punktide jada
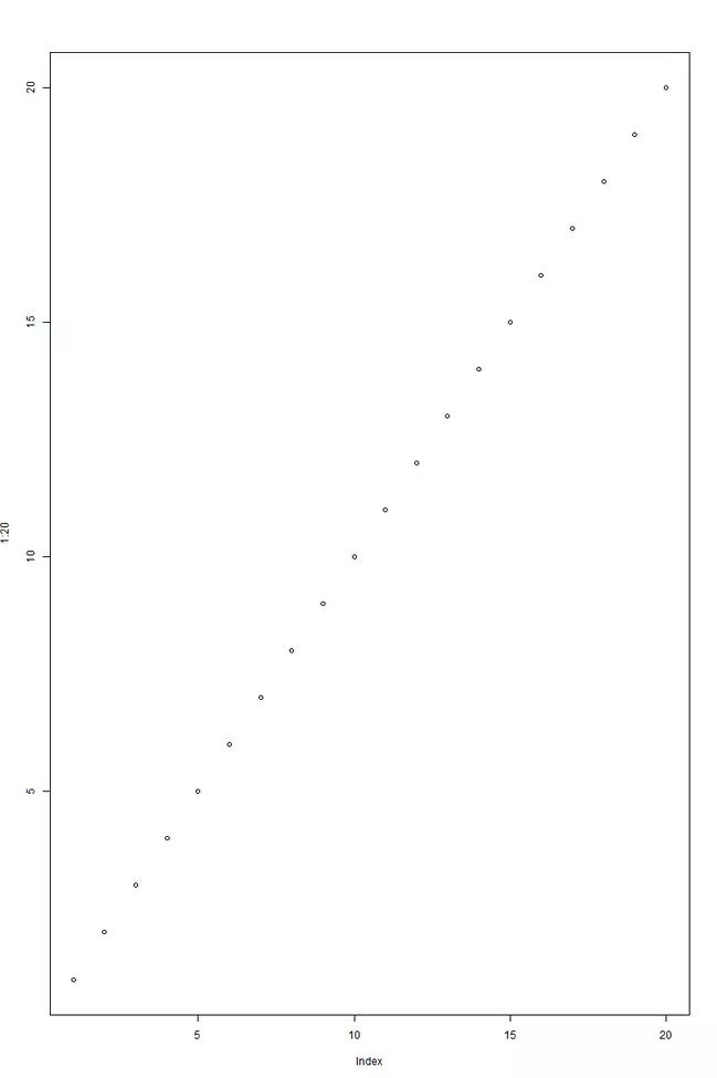
Operaatori : abil saate hõlpsasti luua punktide jada x- ja y-teljel.
plot(1:20)RGraafik näeb välja järgmine:

Nagu näeme, loob plot(1:20) lihtsa hajusdiagrammi, kus nii x-telg kui ka y-telg täidetakse automaatselt väärtustega 1 kuni 20.
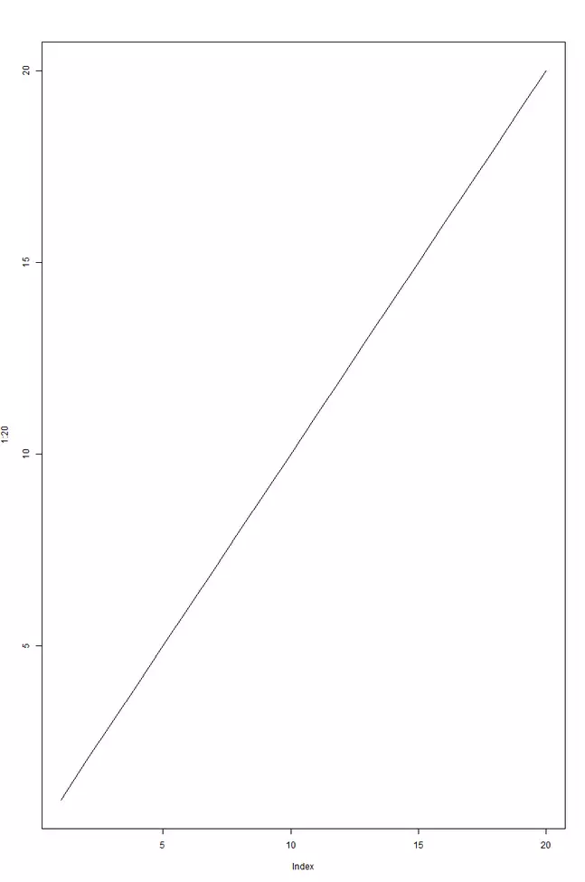
Kuidas joonistada joont
Kui soovite hajusdiagrammi asemel joonekraafikut, sisestage lihtsalt argumentiks type=l. See määrab graafiku tüübiks**„Joon**”.
plot(1:20, type="l")RSeejärel tõmmatakse punktide vahele joon.

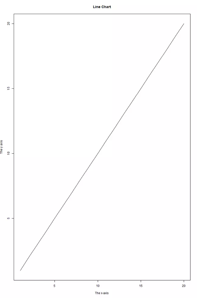
Kuidas märgistusi täpsustada
Saate lisada diagrammile sildid parameetritega main, xlab ja ylab.
plot(1:20, type="l", main="Line Chart", xlab="The x-axis", ylab="The y axis")RTulemus näeb välja järgmine:

Kuidas muuta graafiku välimust
Vaadakem nüüd keerulisemat näidet, kus muudame graafiku punktide värvi, suurust ja kuju.
plot(1:20, type = "p", col = "green", pch = 8, cex = 1.5, main = "Scatterplot", xlab = "The x-axis", ylab = "The y-axis")RSaadud graafik näeb välja järgmine:

type = "p": Seab joonise tüübiks „punktid”col = "green": Seab värviks rohelisepch = 8: Seab punktide sümbolicex = 1.5: Seab punktide suuruse 1,5 korda suuremaks kui standard- `main = „Scatterplot”: Seab graafiku pealkirjaks „Scatterplot”
xlab = "The x-axis"jaylab = "The y-axis": Lisab x- ja y-teljele sildid
Saate neid parameetreid muuta nii palju, kui soovite, et saada oma vajadustele vastav graafik.