Kas yra plot() R kalboje?
plot() in R yra universali funkcija, kuri palaiko įvairių tipų diagramas, įskaitant sklaidos diagramas, linijines ir stulpelines diagramas, histogramas, dėžutės diagramas ir kt.
Kaip veikia plot() funkcija R kalboje?
R programoje funkcija plot() naudojama diagramoms kurti. Ji duomenų taškus išdėsto koordinatės plokštumoje ir sujungia juos tarpusavyje arba pažymi įvairiais būdais. Tai leidžia iliustruoti duomenų modelius ir ryšius bei geriau nustatyti tendencijas ar nukrypimus.
plot() gali kurti sklaidos diagramas, linijinius ir stulpelinius grafikus, histogramas ir daugelį kitų grafikų tipų. Dėl savo universalumo jis naudojamas duomenų vizualizavimui įvairiose srityse, nuo duomenų analizės iki rezultatų pateikimo. Jo patogumas ir lankstumas daro jį svarbiu įrankiu visiems, kurie analizuoja duomenis, dirba su statistika ar nori iliustruoti sudėtingus duomenų rinkinius.
Kokia yra plot() sintaksė R kalboje?
R funkcijos plot() struktūra apima argumentus x ir y ašių duomenims bei neprivalomus argumentus, skirtus grafikos išvaizdai pritaikyti, įskaitant spalvas, ašių pavadinimus ir diagramų tipus.
Pagrindinė sintaksė atrodo taip:
plot(x, y, ...)RŠiame pavyzdyje atvaizduojame vektorių x ir y vertes sklaidos diagramoje. Funkcija plot() naudoja numatytąsias vertes grafiko tipui, spalvoms ir ašių pavadinimams, nes šie argumentai nebuvo užpildyti.
x <- c(1, 2, 3, 4, 5)
y <- c(2, 4, 1, 7, 3)
plot(x, y)RGautas grafikas atrodo taip:

Kaip pritaikyti grafikus naudojant R plot()
Galite pritaikyti grafiko tipą ir jo išvaizdą, naudodami papildomus argumentus R funkcijos plot().
Kaip sukurti taškų seką
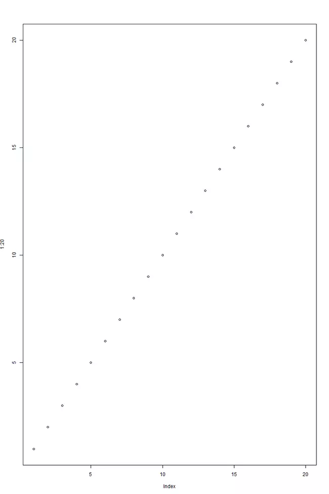
Naudodami operatorius :, galite lengvai sukurti taškų seką išilgai x ir y ašių.
plot(1:20)RGrafikas atrodys taip:

Kaip matome, plot(1:20) sukuria paprastą sklaidos diagramą, kurioje tiek x ašis, tiek y ašis automatiškai užpildomos reikšmėmis nuo 1 iki 20.
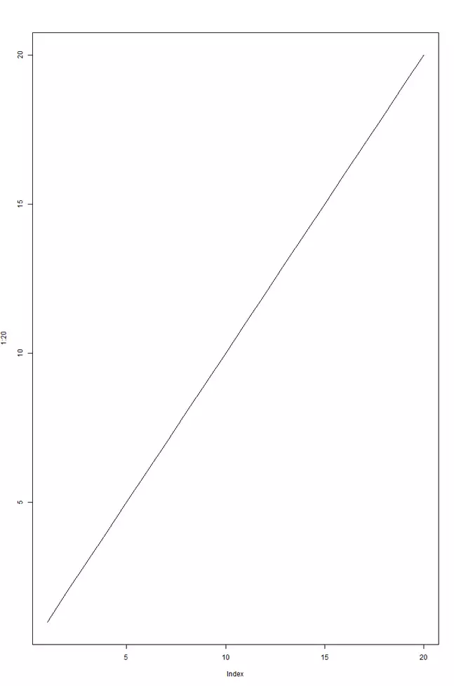
Kaip nubrėžti liniją
Jei norite gauti linijinį grafiką, o ne taškinį diagramą, tiesiog įveskite argumentą type=l. Tai apibrėžia grafiko tipą kaip**„Linija**“.
plot(1:20, type="l")RTada tarp taškų bus nubrėžta linija.

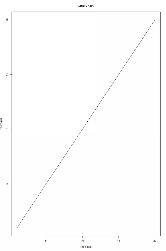
Kaip nurodyti etiketes
Galite pridėti etiketes prie diagramos naudodami parametrus main, xlab ir ylab.
plot(1:20, type="l", main="Line Chart", xlab="The x-axis", ylab="The y axis")RRezultatas atrodo taip:

Kaip pakeisti grafiko išvaizdą
Dabar pažiūrėkime sudėtingesnį pavyzdį, kuriame keičiame grafiko taškų spalvą, dydį ir formą.
plot(1:20, type = "p", col = "green", pch = 8, cex = 1.5, main = "Scatterplot", xlab = "The x-axis", ylab = "The y-axis")RGautas grafikas atrodo taip:

type = "p": nustato diagramos tipą kaip „taškai“col = "green": Nustato spalvą kaip žaliąpch = 8: Nustato taškų simbolįcex = 1.5: Nustato taškų dydį 1,5 karto didesnį nei standartinis- `main = „Scatterplot”: nustato „Scatterplot” kaip grafiko pavadinimą
xlab = "The x-axis"irylab = "The y-axis": Prideda x ir y ašių pavadinimus
Šiuos parametrus galite keisti tiek, kiek norite, kad gautumėte jūsų poreikius atitinkantį grafiką.