Kas ir plot() programmā R?
plot() in R ir daudzfunkcionāla funkcija, kas atbalsta dažādus diagrammu veidus, tostarp izkliedes diagrammas, līniju un stabiņu diagrammas, histogrammas, kastu diagrammas un citas.
Kā darbojas plot() R valodā?
R programmā funkcija plot() tiek izmantota, lai veidotu diagrammas. Tā novieto datu punktus koordinātu plaknē un savieno tos savā starpā vai atzīmē dažādos veidos. Tas ļauj ilustrēt datu modeļus un sakarības, kā arī labāk identificēt tendences vai novirzes.
plot() var veidot izkliedes diagrammas, līniju un stabiņu diagrammas, histogrammas un daudzus citus diagrammu veidus. Pateicoties savai daudzpusībai, to izmanto datu vizualizācijai dažādos kontekstos, sākot no datu analīzes līdz rezultātu prezentēšanai. Tā lietotājam draudzīgums un elastīgums padara to par svarīgu rīku ikvienam, kas analizē datus, strādā ar statistiku vai vēlas ilustrēt sarežģītus datu kopumus.
Kāda ir plot() sintakse R valodā?
R funkcijas plot() struktūra satur argumentus x un y ass datiem un papildu argumentus grafika izskata pielāgošanai, tostarp krāsas, ass apzīmējumus un diagrammu veidus.
Pamata sintakse izskatās šādi:
plot(x, y, ...)RŠajā piemērā mēs attēlojam vektoru x un y vērtības izkliedes diagrammā. Funkcija plot() izmanto noklusējuma vērtības grafika tipam, krāsām un ass apzīmējumiem, jo šie argumenti nav aizpildīti.
x <- c(1, 2, 3, 4, 5)
y <- c(2, 4, 1, 7, 3)
plot(x, y)RRezultātā iegūtais grafiks izskatās šādi:

Kā pielāgot grafikus ar R plot()
Jūs varat pielāgot grafika veidu un izskatu, izmantojot papildu argumentus R funkcijā plot().
Kā izveidot punktu secību
Izmantojot operatoru :, var viegli izveidot punktu secību gar x un y asi.
plot(1:20)RGrafiks izskatīsies šādi:

Kā redzams, plot(1:20) izveido vienkāršu izkliedes diagrammu, kurā gan x ass, gan y ass automātiski tiek aizpildītas ar vērtībām no 1 līdz 20.
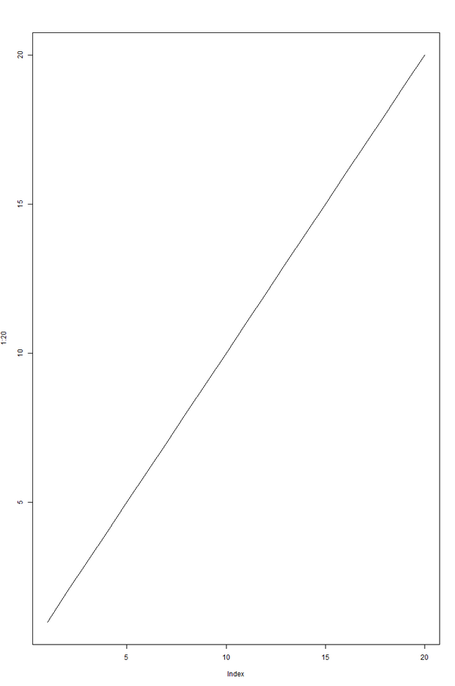
Kā uzzīmēt līniju
Ja vēlaties izmantot līniju grafiku, nevis izkliedes diagrammu, vienkārši ievadiet argumentu type=l. Tas definē grafika tipu kā “Līnija”.
plot(1:20, type="l")RTad starp punktiem tiks novilkta līnija.

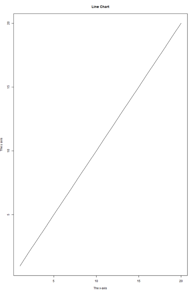
Kā norādīt etiķetes
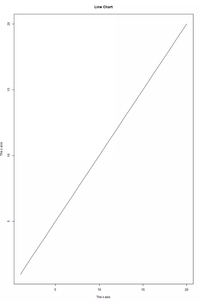
Jūs varat pievienot apzīmējumus diagrammai ar parametriem main, xlab un ylab.
plot(1:20, type="l", main="Line Chart", xlab="The x-axis", ylab="The y axis")RRezultāts izskatās šādi:

Kā mainīt grafika izskatu
Tagad aplūkosim sarežģītāku piemēru, kurā mainām grafika punktu krāsu, izmēru un formu.
plot(1:20, type = "p", col = "green", pch = 8, cex = 1.5, main = "Scatterplot", xlab = "The x-axis", ylab = "The y-axis")RRezultātā iegūtais grafiks izskatās šādi:

type = "p": Nosaka grafika tipu kā „punkti”col = "green": Nosaka krāsu kā zaļupch = 8: Nosaka simbolu punktiemcex = 1.5: Nosaka punktu izmēru 1,5 reizes lielāku nekā standarta izmērs- `main = “Scatterplot”: Nosaka ‘Scatterplot’ kā grafika nosaukumu
xlab = "The x-axis"unylab = "The y-axis": pievieno apzīmējumus x un y asij
Jūs varat mainīt šos parametrus pēc saviem ieskatiem, lai iegūtu grafiku, kas atbilst jūsu vajadzībām.