Kaj je plot() v R?
plot() v R je vsestranska funkcija, ki podpira različne vrste grafikonov, vključno z razpršenimi grafikoni, črtnimi in stolpičnimi grafikoni, histogrami, škatlastimi grafikoni in drugimi.
Kako deluje plot() v R?
Funkcija plot() v R se uporablja za izdelavo grafikonov. Podatkovne točke postavi na koordinatno ravnino in jih med seboj poveže ali označi na različne načine. To vam omogoča, da ponazorite vzorce in odnose v podatkih ter bolje prepoznate trende ali odstopanja.
plot() lahko ustvarja razpršene grafe, črtne in stolpične grafe, histograme in številne druge vrste grafov. Zaradi svoje vsestranskosti se uporablja za vizualizacijo podatkov v različnih kontekstih, od analize podatkov do predstavitve rezultatov. Zaradi svoje uporabniške prijaznosti in prilagodljivosti je pomembno orodje za vsakogar, ki analizira podatke, dela s statistiko ali želi ponazoriti zapletene podatkovne nize.
Kakšna je sintaksa funkcije plot() v R?
Struktura funkcije plot() v R vsebuje argumente za podatke osi x in y ter neobvezne argumente za prilagajanje videza grafa, vključno z barvami, oznakami osi in tipi grafikonov.
Osnovna sintaksa je naslednja:
plot(x, y, ...)RV naslednjem primeru narišemo vrednosti iz vektorjev x in y na razpršenem grafu. Funkcija plot() uporablja privzete vrednosti za tip grafa, barve in oznake osi, saj ti argumenti niso bili izpolnjeni.
x <- c(1, 2, 3, 4, 5)
y <- c(2, 4, 1, 7, 3)
plot(x, y)RRezultatni graf izgleda takole:

Kako prilagoditi grafe z R plot()
V funkciji plot() v R lahko prilagodite vrsto grafa in njegov videz z dodatnimi argumenti.
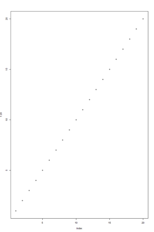
Kako ustvariti zaporedje točk
Z operacijo : lahko enostavno ustvarite zaporedje točk vzdolž osi x in y.
plot(1:20)RGraf bo izgledal takole:

Kot lahko vidimo, plot(1:20) ustvari preprost razpršen diagram, kjer sta os x in os y samodejno zapolnjeni z vrednostmi od 1 do 20.
Kako narisati črto
Če želite namesto razpršenega grafa raje linijski graf, preprosto vnesite type=l kot argument. S tem določite tip grafa kot**»Linija**«.
plot(1:20, type="l")RMed točkama bo nato narisana črta.

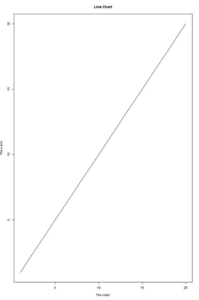
Kako določiti oznake
Na grafikon lahko dodate oznake s parametri main, xlab in ylab.
plot(1:20, type="l", main="Line Chart", xlab="The x-axis", ylab="The y axis")RRezultat je naslednji:

Kako spremeniti videz grafa
Poglejmo si zdaj bolj zapleten primer, v katerem spremenimo barvo, velikost in obliko točk na grafu.
plot(1:20, type = "p", col = "green", pch = 8, cex = 1.5, main = "Scatterplot", xlab = "The x-axis", ylab = "The y-axis")RRezultatni graf je naslednji:

type = "p": Nastavi tip grafa kot »točke«col = "green": Nastavi barvo kot zelenopch = 8: Nastavi simbol za točkecex = 1.5: Določi velikost točk kot 1,5-krat večjo od standardne- `main = „Scatterplot”: Nastavi „Scatterplot” kot naslov grafa
xlab = "The x-axis"inylab = "The y-axis": Dodaja oznake na osi x in y
Te parametre lahko spreminjate, kolikor želite, da dobite grafiko, ki ustreza vašim potrebam.