plot() em R: criar gráficos e diagramas
A função plot() do R suporta uma ampla variedade de gráficos, como gráficos de dispersão, linhas, barras, histogramas, diagramas de caixa, etc.
Como funciona o plot() em R?
plot() é uma função do R que serve para criar gráficos, colocando pontos de dados num plano de coordenadas e ligando-os entre si ou marcando-os de forma diferente, o que facilita a visualização de padrões ou relações entre os dados. Também ajuda a identificar tendências ou anomalias nos dados apresentados.
A função plot() no R pode gerar gráficos de dispersão, linhas, barras e histogramas, entre outros. Portanto, é utilizada como ferramenta para a visualização de dados em diversos âmbitos, desde a análise exploratória de dados até a apresentação de resultados. Devido à sua facilidade de utilização e capacidade de personalização, a função plot() é uma ferramenta importante para quem deseja analisar dados, avaliar estatísticas e apresentar conjuntos de dados complexos de forma clara.
Esta é a sintaxe do plot() em R
A estrutura da função plot() requer a especificação de dados para os eixos x e y e permite ajustar a aparência do gráfico através de argumentos opcionais, como o seu tipo, cor e etiquetas nos eixos.
A sintaxe genérica tem o seguinte aspecto:
plot(x, y, ...)RNo exemplo seguinte, os valores dos vetores x e y são representados como pontos num diagrama de dispersão, onde plot() em R utiliza valores predefinidos para o tipo de gráfico, cores e etiquetas dos eixos, a menos que sejam especificadas opções concretas.
x <- c(1, 2, 3, 4, 5)
y <- c(2, 4, 1, 7, 3)
plot(x, y)RVisualmente, o resultado é o seguinte:

Exemplos de ajustes gráficos com plot() em R
A função plot() no R permite especificar o tipo de gráfico e as suas características visuais.
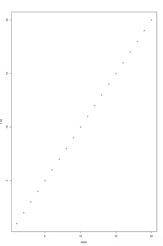
Criar uma sequência de pontos
Criar uma sequência de pontos ao longo dos eixos x e y é muito simples utilizando o operador :.
plot(1:20)RO comando produz o seguinte gráfico:

Como podemos ver, plot(1:20) em R cria um gráfico de dispersão simples, onde o eixo x é preenchido automaticamente com valores de 1 a 20 e o eixo y representa esses mesmos valores.
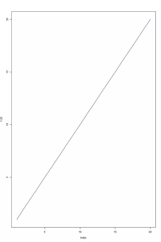
Desenhar uma linha
Para gerar um gráfico linear em vez de um diagrama de dispersão, basta adicionar o parâmetro type=l à função plot() no R, o que define o tipo de gráfico como**“Linha**”.
plot(1:20, type="l")REste comando liga os pontos com uma linha:

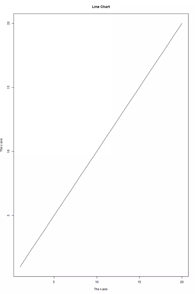
Definir as etiquetas do gráfico
Pode adicionar etiquetas ao gráfico utilizando os parâmetros main, xlab e ylab.
plot(1:20, type="l", main="Line Chart", xlab="The x-axis", ylab="The y axis")RResultado:

Alterar a aparência
Num exemplo mais complexo, vamos modificar a cor, o tamanho e a forma dos pontos no diagrama utilizando a função plot() no R.
plot(1:20, type = "p", col = "green", pch = 8, cex = 1.5, main = "Scatterplot", xlab = "The x-axis", ylab = "The y-axis")RO diagrama modificado tem a seguinte aparência:

type = "p": converte o gráfico num diagrama de pontos.col = "green": aplica uma cor verde aos pontos.pch = 8: define o símbolo que representa cada ponto (neste caso, uma cruz).cex = 1.5: define o tamanho dos pontos (1,5 vezes maior que o padrão).main = "Scatterplot": atribui um título ao diagrama.xlab = "The x-axis"eylab = "The y-axis": rotula os eixosxey.
Pode modificar estes parâmetros conforme desejar para personalizar o gráfico de acordo com as suas necessidades.