Calcular la mediana
En estadística, las grandes cantidades de datos generalmente solo resultan relevantes si se procesan y analizan adecuadamente después de haberse recopilado. Para ello, el cálculo de la mediana es una parte importante del proceso. Al calcular la mediana, los datos se reducen a uno o pocos valores de medición, de modo que las circunstancias o relaciones complejas pueden presentarse claramente en forma de tablas y diagramas. Te explicamos paso a paso cómo calcular e interpretar una mediana.
¿Qué es la mediana?
La mediana, también denominada “valor central”, proviene de la estadística y se trata del valor que se encuentra exactamente en el medio cuando los datos se ordenan de acuerdo con su magnitud. En la estadística descriptiva, la mediana también se denomina “parámetro de ubicación” y se utiliza para expresar la tendencia central del conjunto de datos.
La mediana no se debe confundir con el valor medio o el promedio. Este se calcula sumando todos los valores y dividiendo el resultado por el número de valores. Con la mediana nos referimos al valor que se encuentra en la posición central dentro de una secuencia ascendente.
¿Con qué fórmula se calcula la mediana?
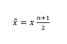
Para calcular la mediana en una sucesión de datos, existen dos fórmulas que se pueden utilizar en función del número de valores observados. El símbolo general para la mediana es ; representa el número de valores observados y es un valor de la sucesión de datos.
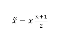
Si cuentas con un número impar de valores observados, utiliza esta fórmula:
A continuación, explicamos ambos casos por medio de dos sencillos ejemplos.
Cómo calcular la mediana
Ejemplo 1: número impar de valores
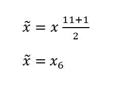
En nuestro primer ejemplo, contamos con un número impar de valores observados. Imagínate que, en un seminario de formación, se pregunta a once participantes por su edad, y las respuestas son las siguientes:
28, 34, 51, 19, 62, 43, 29, 38, 45, 26, 49
En primer lugar, ordena las respuestas de menor a mayor:
19, 26, 28, 29, 34, 38, 43, 45, 49, 51, 62
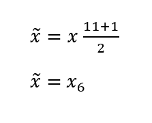
Cada uno de los valores indicados representa un valor determinado. Esto quiere decir, 19 = , 26 = , 28 = , etc. La ventaja de un número impar de valores observados es que la mediana se puede extraer directamente. En este caso, es = 38, puesto que este valor divide la sucesión de cifras en dos. La mitad de las edades (19, 26, 28, 29, 34) son inferiores a la mediana, y la otra mitad de las edades (43, 45, 49, 51, 62) son superiores a la mediana.
También puedes calcular la mediana utilizando la fórmula del párrafo anterior. representa el número de valores observados, que aquí sería 11. La fórmula es la siguiente:
Puesto que es 38, se obtiene el mismo resultado. La mediana de las edades recopiladas en el seminario es 38, ya que este valor se encuentra exactamente en el medio cuando los datos se ordenan de menor a mayor.
Ejemplo 2: número par de valores
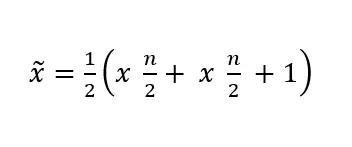
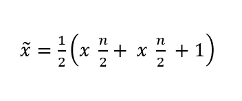
Determinar la mediana en este caso no es tan sencillo, puesto que el número de valores observados es par, y la mediana no se encuentra en la posición central de la sucesión de datos.
Imagínate que en el siguiente seminario de formación se incorpora un participante, es decir, ahora se pregunta a doce personas por sus edades. Las respuestas son las siguientes:
28, 34, 51, 19, 62, 43, 29, 38, 45, 26, 49, 33
Vuelve a ordenar los datos de menor a mayor en una sucesión numérica y denomina las cifras de a .
19, 26, 28, 29, 33, 34, 38, 43, 45, 49, 51, 62
Partiendo de = 12, ahora se aplica la fórmula para los valores observados pares:
La medianade las edades registradas en este seminario es 36.
Si trabajas con el programa de hojas de cálculo Excel, no necesitas calcular la mediana manualmente. Excel ofrece una práctica función de mediana que proporciona el resultado correcto de manera rápida y fiable.
Diferencia con la media aritmética y la moda
Como ya se ha mencionado, la mediana no se debe confundir con el promedio o el valor medio. Este también se denomina “media aritmética” y se utiliza cuando se quiere obtener el valor medio de una serie de datos. Para nuestro primer ejemplo, la edad media sería 38,5 (la suma de las edades dividida entre el número de participantes). Además, también existe la denominada moda, un valor que indica cuál es la cifra que más se repite dentro de un conjunto de datos. En nuestros ejemplos, cada respuesta es una moda, puesto que todas son únicas.
Aplicación de la mediana
Ahora se plantea la cuestión de cuándo debes calcular la mediana y cuándo la media aritmética o la moda son más adecuadas.
Esto depende de la situación. Aunque, en general, se considera que la media aritmética es más precisa y tiene una gran eficiencia en estadística, también es más sensible a los valores atípicos. Esto quiere decir que un dato erróneo en el conjunto de datos puede adulterar considerablemente el valor medio. La mediana no es tan precisa o eficiente como la media aritmética, pero se la considera más estable y, por lo tanto, se suele utilizar cuando los conjuntos de datos están contaminados.
Por el contrario, la moda se utiliza cuando no se trabaja con valores numéricos, sino con otras características. Por ejemplo, podrías usarla si comercializas un producto en diferentes colores y quieres averiguar cuál es el color más popular.





