What is plot() in R?
plot() in R is a versatile function that supports various kinds of charts including scatter plots, line and bar graphs, histograms, box plots and more.
How does plot() in R work?
The plot() function in R is used to make charts. It places data points on a coordinate plane and connects them with each other or marks them in different ways. That allows you to illustrate patterns and relationships in data and better identify trends or deviations.
plot() can make scatter plots, line and bar graphs, histograms and many other types of graphs. Thanks to its versatility, it’s used for data visualisation in a variety of contexts, ranging from data analysis to presenting results. Its user-friendliness and flexibility make it an important tool for anyone analysing data, working with statistics or looking to illustrate complex data sets.
What is the syntax of plot() in R?
The structure of the plot() function in R contains arguments for x- and y-axis data and optional arguments for customising the appearance of the graphic, including colours, axis labels and chart types.
The basic syntax looks as follows:
plot(x, y, ...)RIn the following example, we plot the values from the vectors x and y on a scatter plot. The plot() function uses default values for the graph type, colours and axis labels since these arguments have been left unfilled.
x <- c(1, 2, 3, 4, 5)
y <- c(2, 4, 1, 7, 3)
plot(x, y)RThe resulting graph looks like this:

How to customise graphs with R plot()
You can customise the graph type and how it looks with further arguments in the plot() function in R.
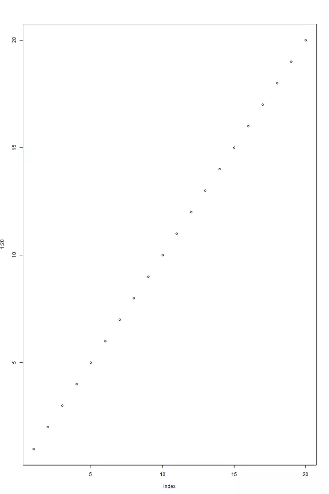
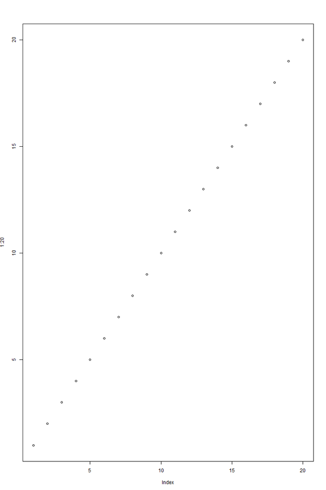
How to create a sequence of points
You can easily create a sequence of points along the x- and y-axis using the : operator.
plot(1:20)RThe graph will look as follows:

As we can see, plot(1:20) creates a simple scatter plot where both the x-axis and the y-axis are automatically filled with the values 1 to 20.
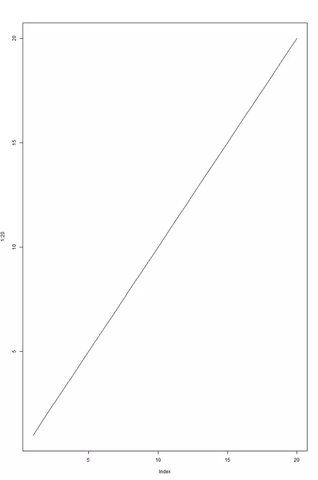
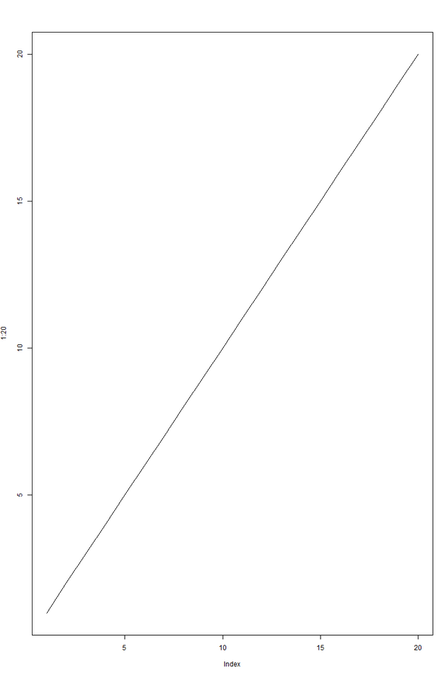
How to draw a line
If you’d like to have a line graph rather than a scatter plot, simply enter type=l as an argument. This defines the graph type as ‘Line’.
plot(1:20, type="l")RA line will then be drawn between the points.

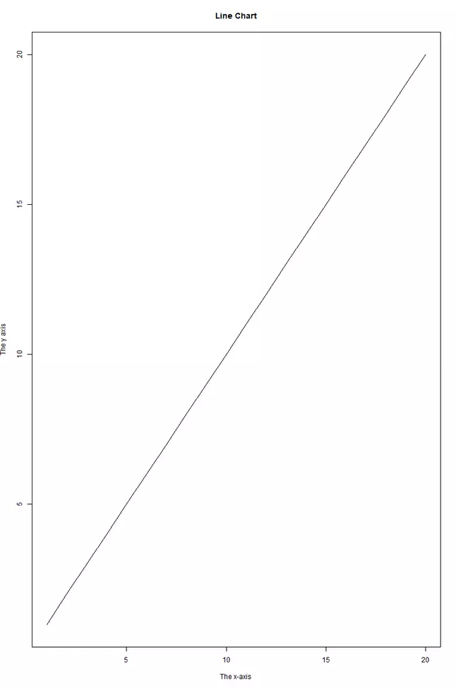
How to specify labels
You can add labels to the chart with the parameters main, xlab and ylab.
plot(1:20, type="l", main="Line Chart", xlab="The x-axis", ylab="The y axis")RThe result looks as follows:

How to change the graph’s appearance
Let’s now look at a more complex example, where we change the colour, size and shape of the points on the graph.
plot(1:20, type = "p", col = "green", pch = 8, cex = 1.5, main = "Scatterplot", xlab = "The x-axis", ylab = "The y-axis")RThe resulting graph looks as follows:

type = "p": Sets the plot type as ‘points’col = "green": Sets the colour as greenpch = 8: Sets the symbol for the pointscex = 1.5: Sets the size of the points as 1.5 times larger than standard- `main = “Scatterplot”: Sets ‘Scatterplot’ as the title of the graph
xlab = "The x-axis"andylab = "The y-axis": Adds labels to the x- and y-axis
You can modify these parameters as much as you want to get a graphic that fits your needs.