R plot(): Grafiken und Diagramme erstellen
Die R plot()-Funktion ist sehr vielseitig und unterstützt verschiedene Diagrammtypen, darunter Streudiagramme, Linien- und Balkendiagramme, Histogramme, Boxplots und mehr.
Wie funktioniert R plot()?
R plot() ist eine Funktion zum Erstellen von Diagrammen. Sie platziert Datenpunkte auf einer Koordinatenebene, verbindet sie miteinander oder markiert sie unterschiedlich. So können Muster oder Beziehungen zwischen den Daten aufgezeigt werden. Auch Trends oder Abweichungen in den dargestellten Informationen sind besser zu identifizieren.
Die plot()-Function in R kann unter anderem Streudiagramme, Linien- und Balkendiagramme oder Histogramme anzeigen. Dadurch findet sie als Werkzeug für die Datenvisualisierung Anwendung in verschiedenen Bereichen, von explorativer Datenanalyse bis hin zur Präsentation von Ergebnissen. Aufgrund ihrer einfachen Handhabung und Anpassbarkeit ist die plot()-Funktion ein wichtiges Tool für diejenigen, die Daten analysieren und Statistiken auswerten sowie komplexe Datensätze auf anschauliche Weise darstellen möchten.
So sieht die Syntax von R plot() aus
Der Aufbau der plot()-Funktion umfasst die Angabe von Daten für die x- und y-Achse sowie optionale Argumente zur Anpassung des Erscheinungsbilds der Grafik, wie Farben, Achsenbeschriftungen und Diagrammtypen.
Die allgemeine Syntax lautet:
plot(x, y, ...)RIm folgenden Beispiel stellen wir die Werte in den Vektoren x und y als Punkte auf einem Streudiagramm dar. R plot() wählt automatisch Standardwerte für den Diagrammtyp, Farben und Achsenbeschriftungen, es sei denn, Sie geben spezifische Optionen an.
x <- c(1, 2, 3, 4, 5)
y <- c(2, 4, 1, 7, 3)
plot(x, y)R
Beispiele für grafische Anpassungen mit R plot()
Sie können die Art der Diagramme und ihr Aussehen mit der plot()-Function in R genau festlegen.
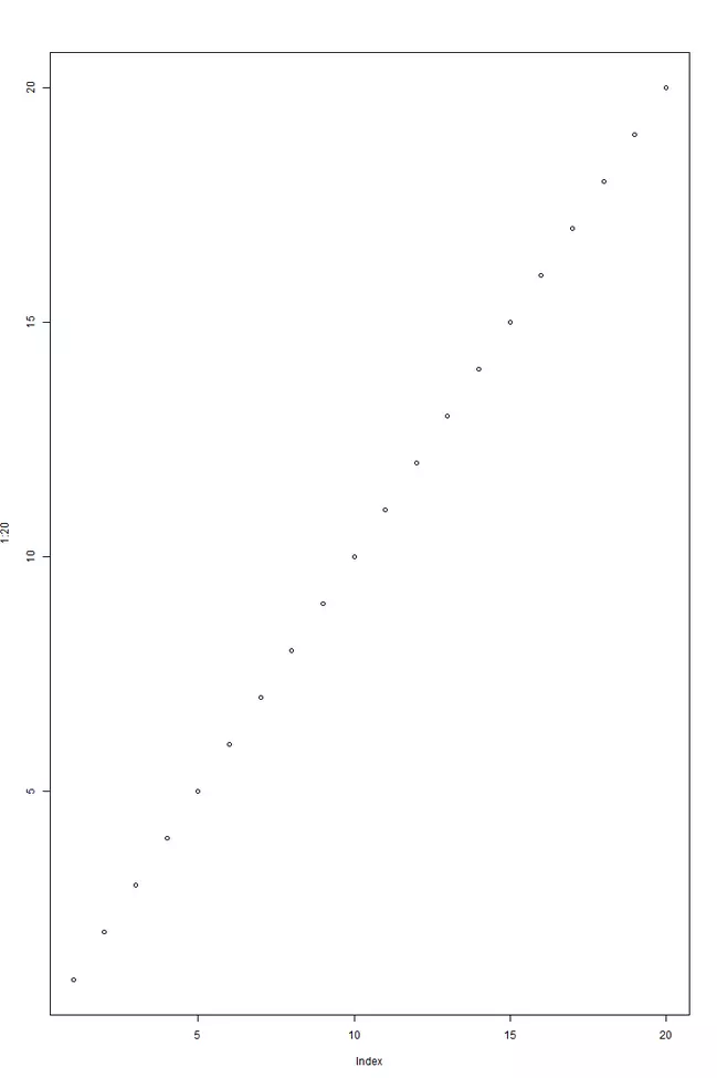
Eine Sequenz von Punkten erstellen
Eine Sequenz von Punkten entlang der x- und y-Achse lässt sich ganz einfach mit dem :-Operator realisieren.
plot(1:20)RDer Graph zeigt uns:

Wie wir sehen können, erstellt plot(1:20) in R ein einfaches Streudiagramm, wobei die x-Achse automatisch mit den Werten von 1 bis 20 gefüllt wird und die y-Achse die gleichen Werte darstellt.
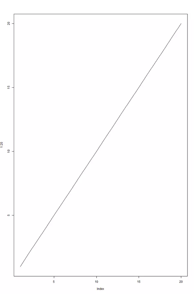
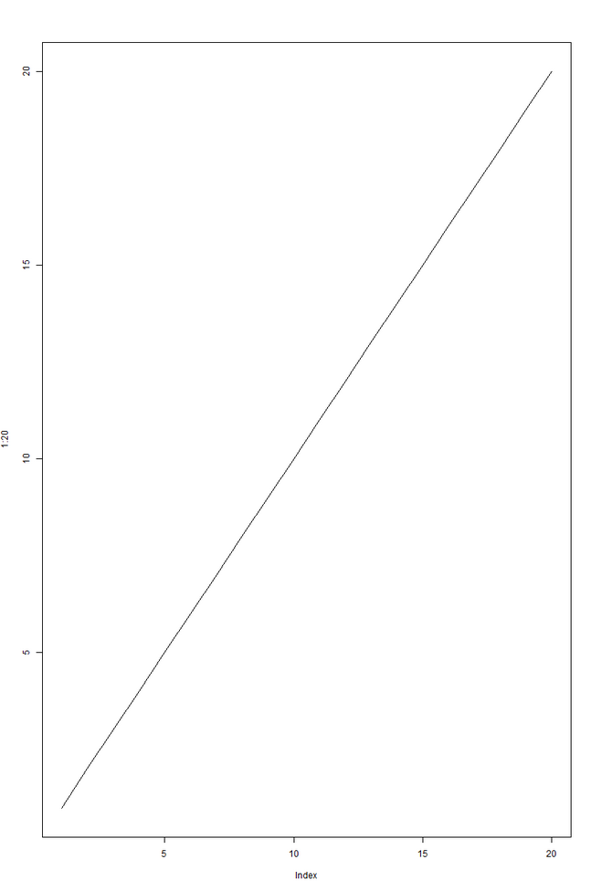
Eine Linie zeichnen
Wenn Sie anstelle eines Streudiagramms ein Liniendiagramm anzeigen möchten, müssen Sie nur den Parameter type=l in R plot() angeben. Dies legt den Diagrammtyp auf „Linie“ fest.
plot(1:20, type="l")RDurch die Punkte wird nun eine Linie gezogen:

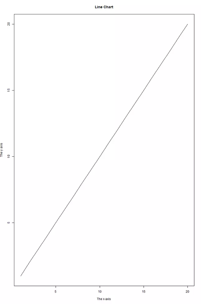
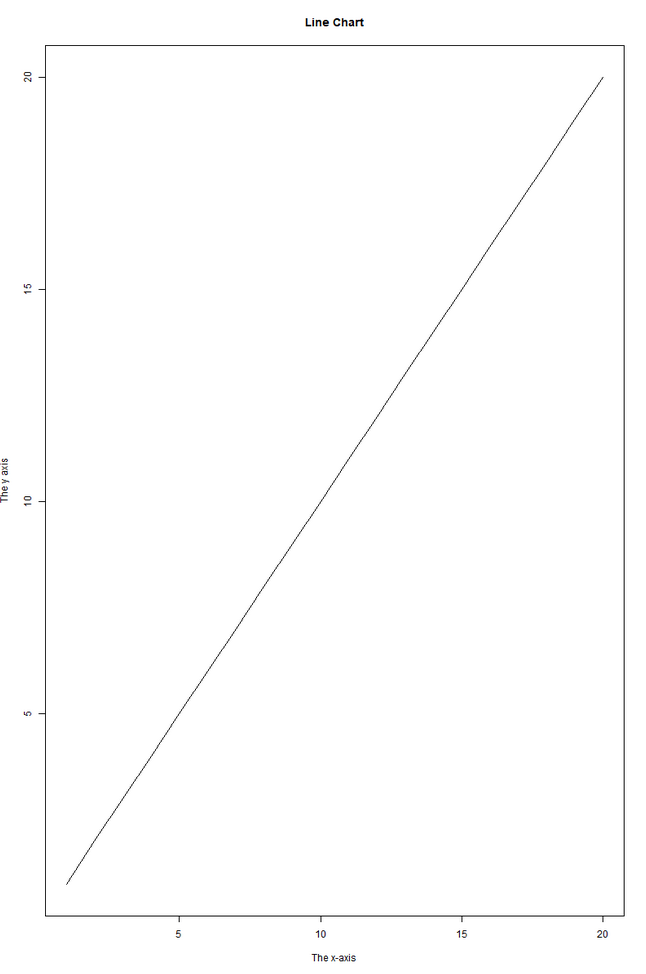
Plot Labels spezifizieren
Mithilfe von den Parametern main, xlab und ylab können Sie den Graphen beschriften.
plot(1:20, type="l", main="Line Chart", xlab="The x-axis", ylab="The y axis")RWir erhalten:

Erscheinungsbild ändern
In einem komplexeren Beispiel möchten wir die Farbe, Größe und Form der Punkte im Diagramm mit R plot() anpassen.
plot(1:20, type = "p", col = "green", pch = 8, cex = 1.5, main = "Scatterplot", xlab = "The x-axis", ylab = "The y-axis")RSo sieht das erstellte Diagramm aus:

type = "p": Legt den Diagrammtyp auf Punkte fest.col = "green": Setzt eine grüne Farbe der Punkte.pch = 8: Spezifiziert das Symbol für die Punkte (in diesem Fall ein Kreuz).cex = 1.5: Definiert die Größe der Punkte (1.5-mal größer als der Standard).- `main = “Scatterplot”: Setzt den Titel des Diagramms.
xlab = "The x-axis"undylab = "The y-axis": Beschriftet die x- und y-Achsen.
Sie können diese Parameter nach Belieben modifizieren, um die Grafik nach Ihren Vorstellungen zu gestalten.